Новости Самары и Области

Новости Самары и Области

Новости и СМИ

Главный телеграм-канал Самары и Самарской Области! Пригласить друзей: https://t.me/+b7Fv7aoAH0s2NWUy Поделиться новостью: @Andry_SMI Купить рекламу: @ADV_SMI Купить через биржу: https://telega.in/c/samara_smi https://clck.ru/3FTU99 18+

Content AI от TeleGraphyx

Мониторьте этот канал — посты, тренды, конкуренты

Подключить Content AI
Подписчиков
85.5k
-398 за месяц
ERR
4.7%
Ниже среднего
Рост за месяц
-0.5%
vs +184.5% в категории
Ср. просмотры
16.9k
За пост
Постов в день
22.5
В среднем

Обзор канала

  • Платформа Telegram
  • Категория Новости и СМИ
  • Подписчики 85 500
  • Температура Горячий
  • Постов/день 22.5
  • Тип Публичный

Динамика подписчиков

Последние 90 дней

Это ваш канал?

Подключите TeleGraphyx Traffic и получайте целевых подписчиков от 15₽.

Оплата за результат
Настройка за 10 минут
25,000 каналов подключено
Подключить канал

Вовлечённость (ERR)

Средний ERR: 4.7%
В категории: 4.7%

Анализ публикаций

30 дней
676
постов всего
22.5
в день
16.9k
ср. просмотров
181,735
ср. реакций
19,632
ср. репостов
13,556
ср. комментов

Типы контента

Текст 40% Фото 47% Видео 12% Другое 1%

Лучшее время (МСК)

Популярные посты

📢 Сирены завоют в Самарской области 4 марта Напоминаем, что проверка системы оповещения начнётся в 10:40. Прозвучат сирены, эфир на ТВ и радио будет приостановлен на одну минуту, после чего будет за

2 мар. 2026 г.
34.3k 209 827

❗️Подростков, осквернивших храм в Южном городе, разыскивают в Самаре Подписчик сообщает, что в микрорайоне Южный город неизвестные школьники зашли в туалет Храма святителя Николая Чудотворца, устроил

15 мар. 2026 г.
31.8k 659

🤯 Март станет адом для метеозависимых самарцев Уже с четверга начнутся мощные колебания, которые продлятся аж до 24 марта. Что чувствуют метеозависимые в такие дни: головные боли и мигрени, скачки

2 мар. 2026 г.
31.0k 328 989

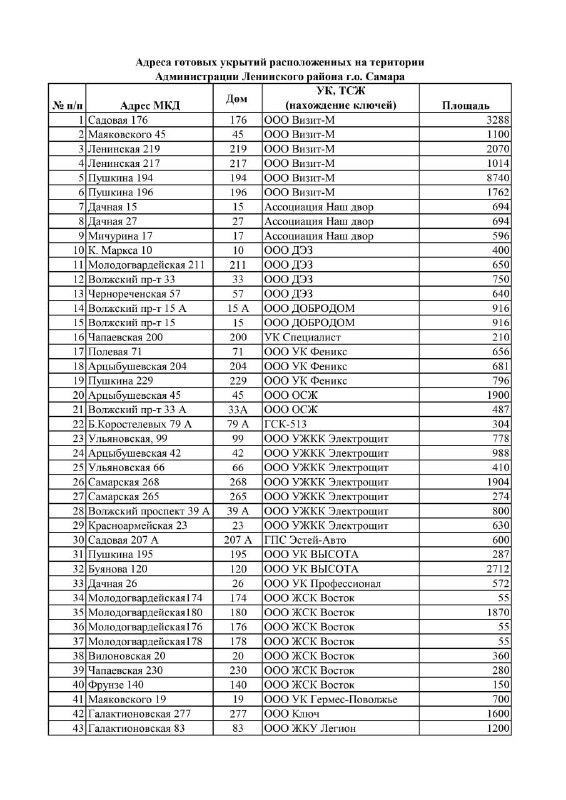
❗️ Публикуем список укрытий в Ленинском районе Администрация предоставила адреса, по которым можно укрыться во время опасности атаки БПЛА или ракетной опасности. Распространите ➡️ 📲 Читайте нас в

2 мар. 2026 г.
30.6k 161 494

🚘 АвтоВАЗ запускает подписку на Lada Vesta: 44 тыс. руб. в месяц и полный пакет услуг Вместо покупки автомобиля россиянам предложат оформить долгосрочную подписку на Lada Vesta. Об этом сообщил авто

21 мар. 2026 г.
30.4k 151

🌷 Доброе утро Всех с последним днем зимы! Улыбок, тепла и хорошего настроения ☀️ 📲 Читайте нас в MAX 😊 Подписаться | Прислать новость

28 февр. 2026 г.
29.7k 156 558

❗️Россиян массово добавляют в фейковые «чаты поликлиник» В сообщениях указывают реальные ФИО и дату рождения жертвы, после чего просят перейти по ссылке для «подтверждения прикрепления к поликлинике»

28 февр. 2026 г.
28.1k 168 457

🌌 Парад планет пройдет сегодня вечером: выходите смотреть на Венеру и Юпитер 28 февраля после захода солнца шесть планет и Луна выстроятся почти в одну линию. Лучше всего наблюдать с 18:50 до 20:00

28 февр. 2026 г.
28.0k 269 362

❗️Авария в Самаре: школа №149 осталась завтра без занятий, пять улиц без тепла По данным наших источников, школа №149 завтра обучается в дистанционном формате. Сегодня на пересечении Солнечной и 6-

2 мар. 2026 г.
27.9k 169 133

🤯 «Хотят содрать с жителей в 5 раз больше»: депутат Дмитрий Асеев — о заявке мусорного регоператора на 26,5 млрд рублей Депутат думы Дмитрий Асеев изучил заключение Департамента тарифного регулирова

4 мар. 2026 г.
27.3k 747 163
CONTENT AI ОТ TELEGRAPHYX

Хотите контент как у лучших? AI сделает

AI изучит стиль топовых каналов в нише и создаст уникальные посты, обложки и стратегию для вашего канала. Полный автопилот — от идеи до публикации.

Content AI — мониторинг 24/7 AI-посты в стиле канала Автообложки
Попробовать бесплатно Настройка за 5 минут · Без карты

Подписывайтесь на наши каналы

Кейсы, лайфхаки и новости о продвижении в мессенджерах

Telegram

@tgraphyx

Новости сервиса, кейсы клиентов

5 200+ подписчиков

Подписаться
Max

TeleGraphyx в Max

Всё о продвижении в Max

5 200+ подписчиков

Подписаться