Новости Самара

Новости Самара

Новости и СМИ

Все самые жёсткие кадры, закулисные происшествия, которые не покажут СМИ. Подписывайся и охреневай от происходящего в Самаре и области! 94c5bcded 16da696aeda0a4c12342 Реклама через биржу - https://telega.in/c/+vB3Mj_5DW-hhY2Ri Админ: @wwwsmmru № 5668

Content AI от TeleGraphyx

Мониторьте этот канал — посты, тренды, конкуренты

Подключить Content AI
Подписчиков
12.1k
ERR
0.1%
Ниже среднего
Рост за месяц
0%
Ср. просмотры
1.6k
За пост
Постов в день
2.9
В среднем

Обзор канала

  • Платформа Telegram
  • Категория Новости и СМИ
  • Подписчики 12 100
  • Температура Тёплый
  • Постов/день 2.9
  • Тип Публичный

Динамика подписчиков

Последние 90 дней

Это ваш канал?

Подключите TeleGraphyx Traffic и получайте целевых подписчиков от 15₽.

Оплата за результат
Настройка за 10 минут
25,000 каналов подключено
Подключить канал

Вовлечённость (ERR)

Средний ERR: 0.1%
В категории: 4.7%

Анализ публикаций

30 дней
88
постов всего
2.9
в день
1.6k
ср. просмотров
3,784
ср. реакций
3,443
ср. репостов
5,057
ср. комментов

Типы контента

Текст 6% Фото 91% Видео 3%

Лучшее время (МСК)

Популярные посты

Прекрасные жители Красноярского района. Подписывайся | Тебе это ничего не стоит🔥

1 мар. 2026 г.
2.7k 14 2

В Сызрани в пожаре спасли двух человек Возгорание случилось в многоквартирном доме. Огонь ликвидировали на площади 50 км. м. В результате происшествия погибла 72-летняя женщина. 23 жителям удалось с

2 мар. 2026 г.
2.5k 3 2

В "Курумоче" у пассажиров заграничных рейсов изъяли 36,8 кг творога и 10,4 кг меда Всего за две недели специалисты проверили 92 партии груза общим весом около 400 кг. Из багажа и ручной клади пассаж

5 мар. 2026 г.
2.4k 1 4

В Самарской области мужчина зарезал жену на глазах детей и покончил с собой 38-летний мужчина вернулся домой пьяным и устроил скандал из-за ревности. В приступе ярости он нанёс супруге 14 ударов

6 мар. 2026 г.
2.4k 4 10

Смертельное ДТП произошло в Красноярском районе. На 366-м километре дороги «Казань — Буинск — Ульяновск» 72- летний водитель Citroën не справился с управлением и столкнулся с большегрузом. Погибла п

5 мар. 2026 г.
2.4k 3 0

Горожане сообщают, что на Ново-Садовой, от Детской больницы до Ново-Вокзальной не работают светофоры. Подписывайся | Тебе это ничего не стоит🔥

4 мар. 2026 г.
2.3k 2 0

На 5-й просеке в Самаре установлен новый арт-объект, посвященный весне. Инсталляция стала частью городского пространства и уже привлекла внимание жителей и прохожих. Подписывайся | Тебе это ничего н

5 мар. 2026 г.
2.3k 8 4

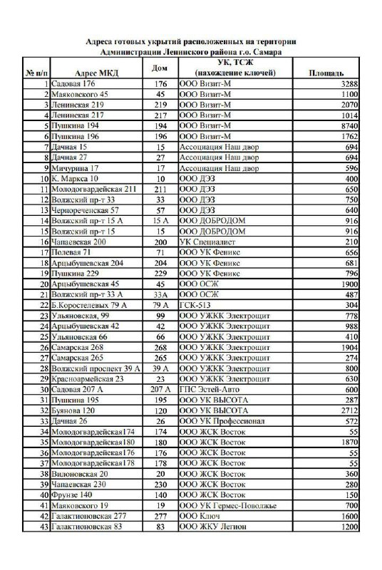
Появился список с адресами бомбоубежищ в центре Самары Вопрос бомбоубежищ стал особенно актуален после того, как в Самарской области объявили угрозу ракетной атаки. Это было в пятницу, 27 февраля. По

2 мар. 2026 г.
2.3k 3 16

🗺 В Самаре на Ново-Садовой перекроют движение трамваев на несколько месяцев В Самаре запланирован капитальный ремонт трамвайных путей на улице Ново-Садовой. Работы охватят два участка: от улицы Ново

28 февр. 2026 г.
2.3k 3 3

«Грушинский экспресс» проедет по области накануне Международного женского дня. В электричке на маршруте Самара – Тольятти – Самара будут выступать самарские музыканты. Из Самары необычная электрич

3 мар. 2026 г.
2.3k 3 4
CONTENT AI ОТ TELEGRAPHYX

Хотите контент как у лучших? AI сделает

AI изучит стиль топовых каналов в нише и создаст уникальные посты, обложки и стратегию для вашего канала. Полный автопилот — от идеи до публикации.

Content AI — мониторинг 24/7 AI-посты в стиле канала Автообложки
Попробовать бесплатно Настройка за 5 минут · Без карты

Подписывайтесь на наши каналы

Кейсы, лайфхаки и новости о продвижении в мессенджерах

Telegram

@tgraphyx

Новости сервиса, кейсы клиентов

5 200+ подписчиков

Подписаться
Max

TeleGraphyx в Max

Всё о продвижении в Max

5 200+ подписчиков

Подписаться