Самара ДТП | samara.dtp.official

Самара ДТП | samara.dtp.official

Новости и СМИ

Новости Самары и Самарской области #Z8JMM Прислать новость: @samaradtp_bot По рекламе: @Reklama_kupit_bot Реклама юр.лиц: https://telega.in/c/samaradtp https://knd.gov.ru/license?id=676190358e552d6b54e49934&registryType=bloggersPermission

Content AI от TeleGraphyx

Мониторьте этот канал — посты, тренды, конкуренты

Подключить Content AI
Подписчиков
104.0k
-1 962 за месяц
ERR
2.8%
Ниже среднего
Рост за месяц
-1.9%
vs +184.5% в категории
Ср. просмотры
17.4k
За пост
Постов в день
34.6
В среднем

Обзор канала

  • Платформа Telegram
  • Категория Новости и СМИ
  • Подписчики 104 000
  • Температура Тёплый
  • Постов/день 34.6
  • Тип Публичный

Динамика подписчиков

Последние 90 дней

Это ваш канал?

Подключите TeleGraphyx Traffic и получайте целевых подписчиков от 15₽.

Оплата за результат
Настройка за 10 минут
25,000 каналов подключено
Подключить канал

Вовлечённость (ERR)

Средний ERR: 2.8%
В категории: 4.7%

Анализ публикаций

30 дней
1 038
постов всего
34.6
в день
17.4k
ср. просмотров
81,744
ср. реакций
23,03
ср. репостов
2,224
ср. комментов

Типы контента

Текст 18% Фото 62% Видео 20% Другое 0%

Лучшее время (МСК)

Популярные посты

🔥Послезавтра Дарим билеты на концерт Кирилла Мазура в Самаре! Условия простые: ✅ Подписаться на наши каналы @samaradtp и @live_63 ✅ Нажать кнопку "Участвовать" Нажми пока не забыл 🔥Послезавтра Д

29 мар. 2026 г.
31.9k 27

Огромное дерево упало на автомобиль. Проезд полностью перекрыт по Средне-Садовой Свободы/Средне-Садовая ‼️ЕЩЁ Самара 🔔 ПОДПИСАТЬСЯ ✈️ПРИСЛАТЬ НОВОСТЬ 🔴 Если у вас плохо прогружаются файлы, все

16 мар. 2026 г.
29.1k 38

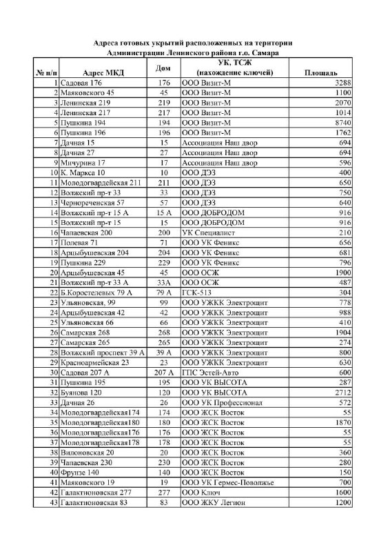
❗️ Публикуем список укрытий в Ленинском районе Администрация предоставила адреса, по которым можно укрыться во время опасности атаки БПЛА или ракетной опасности. Распространите ➡️ ‼️ТЕЛЕГРАМ ЗАБЛО

2 мар. 2026 г.
28.3k 110 448

🔥 В пожаре пострадали женщина и восьмилетняя девочка на Ташкентской, 135 На данный момент открытое возгорание устранено. В тамбуре дома загорелись домашние вещи. Эвакуировали 17 человек, сообщили

1 мар. 2026 г.
27.9k 79 77

😌 В Telegram на iOS появилась функция фоновой загрузки файлов Теперь не надо сидеть с открытым чатом, пока отправляешь файлы. Можно свернуть приложение и следить за статусом в Dynamic Island. ‼️ТЕЛ

2 мар. 2026 г.
27.7k 121 66

❗️ В среду по всей России включат сирены — МЧС проведёт проверку систем оповещения. Ведомство просит сохранять спокойствие и включить телевизор или радио для прослушивания учебного сообщения. ‼️ТЕЛ

2 мар. 2026 г.
27.2k 47 141

💧 2 марта в Самаре 14 улиц временно останутся без холодной воды РКС-Самара опубликовали список адресов, по которым возможны временные отключения холодной воды 2 марта. Отключение ХВС затронет дома н

2 мар. 2026 г.
27.1k 33 33

Общение с токсичными людьми ускоряет старение Согласно недавнему исследованию ученых из Нью-Йоркского университета, общение с неприятными людьми не только портит настроение, но и негативно влияет на

9 мар. 2026 г.
26.7k 97 243

❗ В Самаре ищут школьника Самарскими полицейскими разыскивается без вести пропавший Иван 2012 года рождения, который днём 2 марта ушёл из образовательного учреждения, расположенного на ул. Степана Ра

3 мар. 2026 г.
26.5k 145 28

Очередное пророчество Владимира Вольфовича Жириновского из 2013 года сегодня стало однозначным хитом 💯 🔔 ПОДПИСАТЬСЯ  ✈️ПРИСЛАТЬ НОВОСТЬ ❌ Telegram могут заблокировать, подписывайтесь на наш канал

1 мар. 2026 г.
26.5k 315 493
CONTENT AI ОТ TELEGRAPHYX

Хотите контент как у лучших? AI сделает

AI изучит стиль топовых каналов в нише и создаст уникальные посты, обложки и стратегию для вашего канала. Полный автопилот — от идеи до публикации.

Content AI — мониторинг 24/7 AI-посты в стиле канала Автообложки
Попробовать бесплатно Настройка за 5 минут · Без карты

Подписывайтесь на наши каналы

Кейсы, лайфхаки и новости о продвижении в мессенджерах

Telegram

@tgraphyx

Новости сервиса, кейсы клиентов

5 200+ подписчиков

Подписаться
Max

TeleGraphyx в Max

Всё о продвижении в Max

5 200+ подписчиков

Подписаться